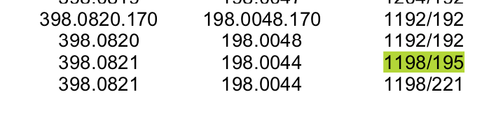
Posts 1,818 Likes 2,580 watchlovr ·Oct 26, 2020 Found this in my parts pile. Cannot find out which watch it might have been for. Can anyone help? Any idea of value, I assume not a lot? Thanks guys.
Posts 13,483 Likes 31,778 X350 XJR ·Oct 26, 2020·Vintage Omega Aficionado Seamaster Cosmic 2000 integrated bracelet models.
Posts 1,818 Likes 2,580 watchlovr ·Oct 27, 2020 X350 XJR Seamaster Cosmic 2000 integrated bracelet models. Thank you sir.
Posts 63 Likes 56 alexei.joukovski ·Oct 27, 2020 My 1342 quartz seamaster has the same strap. Probably worth 20-30$ to the right person.
Posts 1,818 Likes 2,580 watchlovr ·Sep 7, 2022 M Mikkel Erik Is it for sale? Long gone unfortunately. C