Double signed Universal Geneve

Posts
3,585
Likes
8,274
Here is my HPC DUO pack
😊
Beautiful! Would you mind sharing the case serial # of each ? Or at least the first 4-5 digits.
 
Posts
3
Likes
1
Greetings everyone !
My first post on this forum
This is the watch I inherited from my father a few years ago
I'd like to know if anyone could give me more information
I know it's a gold Polerouter date and that it has a double signature (Türler)
But I have no idea of the manufacturing date, nor can I find a serial number on the case back or inside.
The crown doesn't have the Universal U symbol either, but I don't know if that's normal or maybe it was replaced at some point
There seems to be some inscriptions inside the case back, as well as on one of the lugs
Thanks

 
Posts
943
Likes
2,296
The key marking inside the caseback is a Poinçon de Maître from the city of Geneva and means that the gold case was made by Wenger.

https://vintagewatchstraps.com/swisspdm.php#pdm5

As far as I can make out, the remainder of the etchings are service marks from various watchmakers (unusual though not particularly attractive for one to score the back of the lugs) and one of those encounters has resulted in the crown being replaced. If you look at the caseback carefully and in different light can you see any faint indication of stamped numbers?
 
Posts
3
Likes
1
The key marking inside the caseback is a Poinçon de Maître from the city of Geneva and means that the gold case was made by Wenger.

https://vintagewatchstraps.com/swisspdm.php#pdm5

As far as I can make out, the remainder of the etchings are service marks from various watchmakers (unusual though not particularly attractive for one to score the back of the lugs) and one of those encounters has resulted in the crown being replaced. If you look at the caseback carefully and in different light can you see any faint indication of stamped numbers?
Many thanks for the reply and the info, yes there might be some numbers as you suggested, but will need probably better light and magnifying lens to try to find out

 
Posts
943
Likes
2,296
Even that looks weird and done by hand. It should resemble this:


I suppose it's possible that some idiot has refinished the caseback and tried to put the case reference and serial number back by hand.
 
Posts
3
Likes
1
Thanks again for the info
With magnifying glasses and better light I can read
104604-1
21187xx

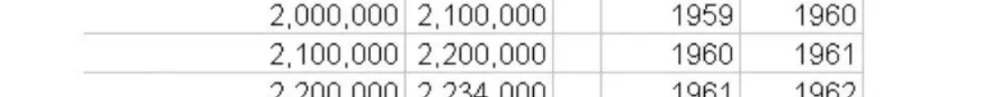
So from the UG information post on this forum the watch should be made around 1960-1961 right ?

Does it greatly affect the value if the crown is not the original?
 
Posts
6,494
Likes
10,163
I've seen other watches with a circular mark on the minute track similar to the one on this watch. It's wider than the minute hand, so I ruled out that possibility. Does anyone have any ideas?
Probably because the dial started its life in a smaller case…
 
Posts
70
Likes
31
Possibly all replacement hands when the (because) sweep hand rubbed on the dial?

The current seep hand appears larger and would hit where the rub mark is.

I am not a big fan of heat- treated/blued hands on gold.
Edited: